Node, Edge and Graph Attributes


The table below describes the attributes used by various Graphviz tools. The table gives the name of the attribute, the graph components (node, edge, etc.) which use the attribute and the type of the attribute (strings representing legal values of that type). Where applicable, the table also gives a default value for the attribute, a minimum allowed setting for numeric attributes, and certain restrictions on the use of the attribute.

All Graphviz attributes are specified by name-value pairs. Thus, to set the fillcolor of a node abc, one would use
abc [fillcolor = red]
Similarly, to set the arrowhead style of an edge abc -> def, one would use
abc -> def [arrowhead = diamond]
Further details concerning the setting of attributes can be found in the description of the DOT language.

At present, most device-independent units are either inches or points, which we take as 72 points per inch.

Note: Some attributes, such as dir or arrowtail, are ambiguous when used in DOT with an undirected graph since the head and tail of an edge are meaningless. As a convention, the first time an undirected edge appears, the DOT parser will assign the left node as the tail node and the right node as the head. For example, the edge A -- B will have tail A and head B. It is the user's responsibility to handle such edges consistently. If the edge appears later, in the format
B -- A [taillabel = "tail"]
the drawing will attach the tail label to node A. To avoid possible confusion when such attributes are required, the user is encouraged to use a directed graph. If it is important to make the graph appear undirected, this can be done using the dir, arrowtail or arrowhead attributes.

The tools accept standard C representations for int and double types. For the bool type, TRUE values are represented by "true" (case-insensitive) and any non-zero integer, and FALSE values by "false" (case-insensitive) and zero. In addition, there are a variety of specialized types such as arrowType, color, pointf and rankdir. Legal values for these types are given at the end.

In the Used By field, the characters E, N, G, S and C represent edges, nodes, the root graph, subgraphs and cluster subgraphs, respectively. This field indicates which graph component uses the attribute.


NameUsed ByTypeDefaultMinimumNotes
Damping Gdouble0.990.0neato only
K GCdouble0.30sfdp, fdp only
URL ENGCescString <none>svg, postscript, map only
arrowhead EarrowType normal
arrowsize Edouble1.00.0
arrowtail EarrowType normal
aspect GaspectType dot only
bb Grect write only
bgcolor GCcolor <none>
center Gbool false
charset Gstring"UTF-8"
clusterrank GclusterMode localdot only
color ENCcolor
colorList
black
colorscheme ENCGstring""
comment ENGstring""
compound Gbool falsedot only
concentrate Gbool false
constraint Ebool truedot only
decorate Ebool false
defaultdist Gdouble1+(avg. len)*sqrt(|V|)epsilonneato only
dim Gint22sfdp, fdp, neato only
dimen Gint22sfdp, fdp, neato only
dir EdirType forward(directed)
none(undirected)
diredgeconstraints Gstring
bool
falseneato only
distortion Ndouble0.0-100.0
dpi Gdouble96.0
0.0
svg, bitmap output only
edgeURL EescString ""svg, map only
edgehref EescString ""svg, map only
edgetarget EescString <none>svg, map only
edgetooltip EescString ""svg, cmap only
epsilon Gdouble.0001 * # nodes(mode == KK)
.0001(mode == major)
neato only
esep Gdouble
pointf
+3not dot
fillcolor NCcolor lightgrey(nodes)
black(clusters)
fixedsize Nbool false
fontcolor ENGCcolor black
fontname ENGCstring"Times-Roman"
fontnames Gstring""svg only
fontpath Gstringsystem-dependent
fontsize ENGCdouble14.01.0
group Nstring""dot only
headURL EescString ""svg, map only
headclip Ebool true
headhref EescString ""svg, map only
headlabel ElblString ""
headport EportPos center
headtarget EescString <none>svg, map only
headtooltip EescString ""svg, cmap only
height Ndouble0.50.02
href EescString ""svg, postscript, map only
id GNElblString ""svg, postscript, map only
image Nstring""
imagescale Nbool
string
false
label ENGClblString "\N" (nodes)
"" (otherwise)
labelURL EescString ""svg, map only
labelangle Edouble-25.0-180.0
labeldistance Edouble1.00.0
labelfloat Ebool false
labelfontcolor Ecolor black
labelfontname Estring"Times-Roman"
labelfontsize Edouble14.01.0
labelhref EescString ""svg, map only
labeljust GCstring"c"
labelloc GCstring"t"(clusters)
"b"(root graphs)
labelloc Nstring"c"(clusters)
labeltarget EescString <none>svg, map only
labeltooltip EescString ""svg, cmap only
landscape Gbool false
layer ENlayerRange ""
layers GlayerList ""
layersep Gstring" :\t"
layout Gstring""
len Edouble1.0(neato)
0.3(fdp)
fdp, neato only
levels GintMAXINT0.0sfdp only
levelsgap Gdouble0.0neato only
lhead Estring""dot only
lp EGCpoint write only
ltail Estring""dot only
margin NGdouble
pointf
<device-dependent>
maxiter Gint100 * # nodes(mode == KK)
200(mode == major)
600(fdp)
fdp, neato only
mclimit Gdouble1.0dot only
mindist Gdouble1.00.0circo only
minlen Eint10dot only
mode Gstring"major"neato only
model Gstring"shortpath"neato only
mosek Gbool falseneato only
nodesep Gdouble0.250.02dot only
nojustify GCNEbool false
normalize Gbool falsenot dot
nslimit
nslimit1
Gdoubledot only
ordering Gstring""dot only
orientation Ndouble0.0360.0
orientation Gstring""
outputorder GoutputMode breadthfirst
overlap Gstring
bool
truenot dot
overlap_scaling Gdouble-4-1.0e10prism only
pack Gbool
int
falsenot dot
packmode GpackMode nodenot dot
pad Gdouble
pointf
0.0555 (4 points)
page Gpointf
pagedir Gpagedir BL
pencolor Ccolor black
penwidth CNEdouble1.00.0
peripheries NCintshape default(nodes)
1(clusters)
0
pin Nbool falsefdp, neato only
pos ENpoint
splineType
quadtree GquadType
bool
"normal"sfdp only
quantum Gdouble0.00.0
rank SrankType dot only
rankdir Grankdir TBdot only
ranksep Gdouble0.5(dot)
1.0(twopi)
0.02twopi, dot only
ratio Gdouble
string
rects Nrect write only
regular Nbool false
remincross Gbool falsedot only
repulsiveforce Gdouble1.00.0sfdp only
resolution Gdouble96.0
0.0
svg, bitmap output only
root GNstring
bool
""(graphs)
false(nodes)
circo, twopi only
rotate Gint0
samehead Estring""dot only
sametail Estring""dot only
samplepoints Nint8(output)
20(overlap and image maps)
searchsize Gint30dot only
sep Gdouble
pointf
+4not dot
shape Nshape ellipse
shapefile Nstring""
showboxes ENGint00dot only
sides Nint40
size Gpointf
skew Ndouble0.0-100.0
smoothing GsmoothType "none"sfdp only
sortv GCNint00
splines Gbool
string
start GstartType ""fdp, neato only
style ENCstyle
stylesheet Gstring""svg only
tailURL EescString ""svg, map only
tailclip Ebool true
tailhref EescString ""svg, map only
taillabel ElblString ""
tailport EportPos center
tailtarget EescString <none>svg, map only
tailtooltip EescString ""svg, cmap only
target ENGCescString
string
<none>svg, map only
tooltip NECescString ""svg, cmap only
truecolor Gbool bitmap output only
vertices NpointfList write only
viewport GviewPort ""
voro_margin Gdouble0.050.0not dot
weight Edouble1.00(dot)
1(neato,fdp,sfdp)
width Ndouble0.750.01
z Ndouble0.0-MAXFLOAT
-1000

Attribute Descriptions

Damping
Factor damping force motions. On each iteration, a nodes movement is limited to this factor of its potential motion. By being less than 1.0, the system tends to ``cool'', thereby preventing cycling.
K
Spring constant used in virtual physical model. It roughly corresponds to an ideal edge length (in inches), in that increasing K tends to increase the distance between nodes. Note that the edge attribute len can be used to override this value for adjacent nodes.
URL
Hyperlinks incorporated into device-dependent output. At present, used in ps2, cmap, i*map and svg formats. For all these formats, URLs can be attached to nodes, edges and clusters. URL attributes can also be attached to the root graph in ps2, cmap and i*map formats. This serves as the base URL for relative URLs in the former, and as the default image map file in the latter.

For svg, cmapx and imap output, the active area for a node is its visible image. For example, an unfilled node with no drawn boundary will only be active on its label. For other output, the active area is its bounding box. The active area for a cluster is its bounding box. For edges, the active areas are small circles where the edge contacts its head and tail nodes. In addition, for svg, cmapx and imap, the active area includes a thin polygon approximating the edge. The circles may overlap the related node, and the edge URL dominates. If the edge has a label, this will also be active. Finally, if the edge has a head or tail label, this will also be active.

Note that, for edges, the attributes headURL, tailURL, labelURL and edgeURL allow control of various parts of an edge. Also note that, if active areas of two edges overlap, it is unspecified which area dominates.

arrowhead
Style of arrowhead on the head node of an edge. See also the dir attribute, and a limitation.
arrowsize
Multiplicative scale factor for arrowheads.
arrowtail
Style of arrowhead on the tail node of an edge. See also the dir attribute, and a limitation.
aspect
Target aspect ratio (width of the layout divided by the height) of the graph drawing. If unset, dot minimizes the total edge length. For certain graphs, like those with large fan-in or fan-out, this can lead to very wide layouts. Setting aspect will cause dot to try to adjust the layout to get an aspect ratio close to that specified by aspect.

By default, dot will do 5 passes attempting to achieve the desired aspect ratio. For certain graphs, more passes will be needed to get close enough. The aspect attribute can also be used to specify the maximum number of passes to try.

At present, there is no mechanism for widening a very tall layout. Also, the algorithm doesn't handle clusters, nor disconnected graphs. For the latter case, one can split the pipeline
ccomps -x | dot | gvpack | neato -n2 to get a similar effect.

bb
Bounding box of drawing in points.
bgcolor
When attached to the root graph, this color is used as the background for entire canvas. When a cluster attribute, it is used as the initial background for the cluster. If a cluster has a filled style, the cluster's fillcolor will overlay the background color.

If no background color is specified for the root graph, no graphics operation are performed on the background. This works fine for PostScript but for bitmap output, all bits are initialized to something. This means that when the bitmap output is included in some other document, all of the bits within the bitmap's bounding box will be set, overwriting whatever color or graphics where already on the page. If this effect is not desired, and you only want to set bits explicitly assigned in drawing the graph, set bgcolor="transparent".

center
If true, the drawing is centered in the output canvas.
charset
Specifies the character encoding used when interpreting string input as a text label. The default value is "UTF-8". The other legal value is "iso-8859-1" or, equivalently, "Latin1". The charset attribute is case-insensitive. Note that if the character encoding used in the input does not match the charset value, the resulting output may be very strange.
clusterrank
Mode used for handling clusters. If clusterrank is "local", a subgraph whose name begins with "cluster" is given special treatment. The subgraph is laid out separately, and then integrated as a unit into its parent graph, with a bounding rectangle drawn about it. If the cluster has a label parameter, this label is displayed within the rectangle. Note also that there can be clusters within clusters. At present, the modes "global" and "none" appear to be identical, both turning off the special cluster processing.
color
Basic drawing color for graphics, not text. For the latter, use the fontcolor attribute.

For edges, the value can either be a single color or a colorList. In the latter case, the edge is drawn using parallel splines or lines, one for each color in the list, in the order given. The head arrow, if any, is drawn using the first color in the list, and the tail arrow, if any, the second color. This supports the common case of drawing opposing edges, but using parallel splines instead of separately routed multiedges. For example, the graph

  digraph G {
    a -> b [dir=both color="red:blue"]
  }
  
yields
colorscheme
This attribute specifies a color scheme namespace. If defined, it specifies the context for interpreting color names. In particular, if a color value has form "xxx" or "//xxx", then the color xxx will be evaluated according to the current color scheme. If no color scheme is set, the standard X11 naming is used. For example, if colorscheme=bugn9, then color=7 is interpreted as "/bugn9/7".
comment
Comments are inserted into output. Device-dependent
compound
If true, allow edges between clusters. (See lhead and ltail below.)
concentrate
If true, use edge concentrators. This merges multiedges into a single edge and causes partially parallel edges to share part of their paths. The latter feature is not yet available outside of dot.
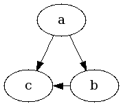
constraint
If false, the edge is not used in ranking the nodes. For example, in the graph
  digraph G {
    a -> c;
    a -> b;
    b -> c [constraint=false];
  }
  
the edge b -> c does not add a constraint during rank assignment, so the only constraints are that a be above b and c, yielding the graph:
decorate
If true, attach edge label to edge by a 2-segment polyline, underlining the label, then going to the closest point of spline.
defaultdist
This specifies the distance between nodes in separate connected components. If set too small, connected components may overlap. Only applicable if pack=false.
dim
Set the number of dimensions used for the layout. The maximum value allowed is 10.
dimen
Set the number of dimensions used for rendering. The maximum value allowed is 10. If both dimen and dim are set, the latter specifies the dimension used for layout, and the former for rendering. If only dimen is set, this is used for both layout and rendering dimensions.
dir
Set edge type for drawing arrowheads. This indicates which ends of the edge should be decorated with an arrowhead. The actual style of the arrowhead can be specified using the arrowhead and arrowtail attributes. See limitation.
diredgeconstraints
Only valid when mode="ipsep". If true, constraints are generated for each edge in the largest (heuristic) directed acyclic subgraph such that the edge must point downwards. If "hier", generates level constraints similar to those used with mode="hier". The main difference is that, in the latter case, only these constraints are involved, so a faster solver can be used.
distortion
Distortion factor for shape=polygon. Positive values cause top part to be larger than bottom; negative values do the opposite.
dpi
This specifies the expected number of pixels per inch on a display device. For bitmap output, this guarantees that text rendering will be done more accurately, both in size and in placement. For SVG output, it is used to guarantee that the dimensions in the output correspond to the correct number of points or inches.
edgeURL
If edgeURL is defined, this is the link used for the non-label parts of an edge. This value overrides any URL defined for the edge. Also, this value is used near the head or tail node unless overridden by a headURL or tailURL value, respectively. See limitation.
edgehref
Synonym for edgeURL.
edgetarget
If the edge has a URL or edgeURL attribute, this attribute determines which window of the browser is used for the URL attached to the non-label part of the edge. Setting it to "_graphviz" will open a new window if it doesn't already exist, or reuse it if it does. If undefined, the value of the target is used.
edgetooltip
Tooltip annotation attached to the non-label part of an edge. This is used only if the edge has a URL or edgeURL attribute.
epsilon
Terminating condition. If the length squared of all energy gradients are < epsilon, the algorithm stops.
esep
Margin used around polygons for purposes of spline edge routing. The interpretation is the same as given for sep. This should normally be strictly less than sep.
fillcolor
Color used to fill the background of a node or cluster assuming style=filled. If fillcolor is not defined, color is used. (For clusters, if color is not defined, bgcolor is used.) If this is not defined, the default is used, except for shape=point or when the output format is MIF, which use black by default.

Note that a cluster inherits the root graph's attributes if defined. Thus, if the root graph has defined a fillcolor, this will override a color or bgcolor attribute set for the cluster.

fixedsize
If true, the node size is specified by the values of the width and height attributes only and is not expanded to contain the text label.
fontcolor
Color used for text.
fontname
Font used for text. This very much depends on the output format and, for non-bitmap output such as PostScript or SVG, the availability of the font when the graph is displayed or printed. As such, it is best to rely on font faces that are generally available, such as Times-Roman, Helvetica or Courier.

If Graphviz was built using the fontconfig library, the latter library will be used to search for the font. However, if the fontname string contains a slash character "/", it is treated as a pathname for the font file, though font lookup will append the usual font suffixes.

If Graphviz does not use fontconfig, fontname will be considered the name of a Type 1 or True Type font file. If you specify fontname=schlbk, the tool will look for a file named schlbk.ttf or schlbk.pfa or schlbk.pfb in one of the directories specified by the fontpath attribute. The lookup does support various aliases for the common fonts.

fontnames
Allows user control of how basic fontnames are represented in SVG output. If fontnames is undefined or "svg", the output will try to use known SVG fontnames. For example, the default font "Times-Roman" will be mapped to the basic SVG font "serif". This can be overridden by setting fontnames to "ps" or "gd". In the former case, known PostScript font names such as "Times-Roman" will be used in the output. In the latter case, the fontconfig font conventions are used. Thus, "Times-Roman" would be treated as "Nimbus Roman No9 L". These last two options are useful with SVG viewers that support these richer fontname spaces.
fontpath
Directory list used by libgd to search for bitmap fonts if Graphviz was not built with the fontconfig library. If fontpath is not set, the environment variable DOTFONTPATH is checked. If that is not set, GDFONTPATH is checked. If not set, libgd uses its compiled-in font path. Note that fontpath is an attribute of the root graph.
fontsize
Font size, in points, used for text.
group
If the end points of an edge belong to the same group, i.e., have the same group attribute, parameters are set to avoid crossings and keep the edges straight.
headURL
If headURL is defined, it is output as part of the head label of the edge. Also, this value is used near the head node, overriding any URL value. See limitation.
headclip
If true, the head of an edge is clipped to the boundary of the head node; otherwise, the end of the edge goes to the center of the node, or the center of a port, if applicable.
headhref
Synonym for headURL.
headlabel
Text label to be placed near head of edge. See limitation.
headport
Indicates where on the head node to attach the head of the edge. In the default case, the edge is aimed towards the center of the node, and then clipped at the node boundary. See limitation.
headtarget
If the edge has a headURL, this attribute determines which window of the browser is used for the URL. Setting it to "_graphviz" will open a new window if it doesn't already exist, or reuse it if it does. If undefined, the value of the target is used.
headtooltip
Tooltip annotation attached to the head of an edge. This is used only if the edge has a headURL attribute.
height
Height of node, in inches. This is taken as the initial, minimum height of the node. If fixedsize is true, this will be the final height of the node. Otherwise, if the node label requires more height to fit, the node's height will be increased to contain the label. Note also that, if the output format is dot, the value given to height will be the final value.
href
Synonym for URL.
id
Allows the graph author to provide an id for graph objects which is to be included in the output. Normal "N", "E", "G" substitutions are applied. If provided, it is the reponsiblity of the provider to keep its values sufficiently unique for its intended downstream use. Note, in particular, that "E" does not provide a unique id for multi-edges. If no id attribute is provided, then a unique internal id is used, however this value is unpredictable by the graph writer. An externally provided id is not used internally.
image
Gives the name of a file containing an image to be displayed inside a node. The image file must be in one of the recognized formats, typically JPEG, PNG, GIF or Postscript, and be able to be converted into the desired output format.

Unlike with the shapefile attribute, the image is treated as node content rather than the entire node. In particular, an image can be contained in a node of any shape, not just a rectangle.

imagescale
Attribute controlling how an image fills its containing node. In general, the image is given its natural size, (cf. dpi), and the node size is made large enough to contain its image, its label, its margin, and its peripheries. Its width and height will also be at least as large as its minimum width and height. If, however, fixedsize=true, the width and height attributes specify the exact size of the node.

During rendering, in the default case (imagescale=false), the image retains its natural size. If imagescale=true, the image is uniformly scaled (i.e., its aspect ratio is preserved) to fit inside the node. At least one dimension of the image will be as large as possible given the size of the node. When imagescale=width, the width of the image is scaled to fill the node width. The corresponding property holds when imagescale=height. When imagescale=both, both the height and the width are scaled separately to fill the node.

In all cases, if a dimension of the image is larger than the corresponding dimension of the node, that dimension of the image is scaled down to fit the node. As with the case of expansion, if imagescale=true, width and height are scaled uniformly.

label
Text label attached to objects. If a node's shape is record, then the label can have a special format which describes the record layout.
labelURL
If labelURL is defined, this is the link used for the label of an edge. This value overrides any URL defined for the edge.
labelangle
This, along with labeldistance, determine where the headlabel (taillabel) are placed with respect to the head (tail) in polar coordinates. The origin in the coordinate system is the point where the edge touches the node. The ray of 0 degrees goes from the origin back along the edge, parallel to the edge at the origin.

The angle, in degrees, specifies the rotation from the 0 degree ray, with positive angles moving counterclockwise and negative angles moving clockwise.

labeldistance
Multiplicative scaling factor adjusting the distance that the headlabel(taillabel) is from the head(tail) node. The default distance is 10 points. See labelangle for more details.
labelfloat
If true, allows edge labels to be less constrained in position. In particular, it may appear on top of other edges.
labelfontcolor
Color used for headlabel and taillabel. If not set, defaults to edge's fontcolor.
labelfontname
Font used for headlabel and taillabel. If not set, defaults to edge's fontname.
labelfontsize
Font size, in points, used for headlabel and taillabel. If not set, defaults to edge's fontsize.
labelhref
Synonym for labelURL.
labeljust
Justification for cluster labels. If "r", the label is right-justified within bounding rectangle; if "l", left-justified; else the label is centered. Note that a subgraph inherits attributes from its parent. Thus, if the root graph sets labeljust to "l", the subgraph inherits this value.
labelloc
Top/bottom placement of graph and cluster labels. If the attribute is "t", place label at the top; if the attribute is "b", place label at the bottom. By default, root graph labels go on the bottom and cluster labels go on the top. Note that a subgraph inherits attributes from its parent. Thus, if the root graph sets labelloc to "b", the subgraph inherits this value.
labelloc
Vertical placement of node label. By default, if the height of a node is larger than the height of its label, the label is vertically centered. If labelloc is set to "t", "c", or "b", the label is aligned with the top, centered, or aligned with the bottom of the node, respectively.
labeltarget
If the edge has a URL or labelURL attribute, this attribute determines which window of the browser is used for the URL attached to the label. Setting it to "_graphviz" will open a new window if it doesn't already exist, or reuse it if it does. If undefined, the value of the target is used.
labeltooltip
Tooltip annotation attached to label of an edge. This is used only if the edge has a URL or labelURL attribute.
landscape
If true, the graph is rendered in landscape mode. Synonymous with rotate=90 or orientation=landscape.
layer
Specifies layers in which the node or edge is present.
layers
Specifies a linearly ordered list of layer names attached to the graph The graph is then output in separate layers. Only those components belonging to the current output layer appear. For more information, see the page How to use drawing layers (overlays).
layersep
Specifies the separator characters used to split the layers attribute into a list of layer names.
layout
Specifies the name of the layout algorithm to use, such as "dot" or "neato". Normally, graphs should be kept independent of a type of layout. In some cases, however, it can be convenient to embed the type of layout desired within the graph. For example, a graph containing position information from a layout might want to record what the associated layout algorithm was.

This attribute takes precedence over the -K flag or the actual command name used.

len
Preferred edge length, in inches.
levels
Number of levels allowed in the multilevel scheme.
levelsgap
Specifies strictness of level constraints in neato when mode="ipsep" or "hier". Larger positive values mean stricter constraints, which demand more separation between levels. On the other hand, negative values will relax the constraints by allowing some overlap between the levels.
lhead
Logical head of an edge. When compound is true, if lhead is defined and is the name of a cluster containing the real head, the edge is clipped to the boundary of the cluster. See limitation.
lp
Label position, in points. The position indicates the center of the label.
ltail
Logical tail of an edge. When compound is true, if ltail is defined and is the name of a cluster containing the real tail, the edge is clipped to the boundary of the cluster. See limitation.
margin
For graphs, this sets x and y margins of canvas, in inches. If the margin is a single double, both margins are set equal to the given value.

Note that the margin is not part of the drawing but just empty space left around the drawing. It basically corresponds to a translation of drawing, as would be necessary to center a drawing on a page. Nothing is actually drawn in the margin. To actually extend the background of a drawing, see the pad attribute.

For nodes, this attribute specifies space left around the node's label. By default, the value is 0.11,0.055.

maxiter
Sets the number of iterations used.
mclimit
Multiplicative scale factor used to alter the MinQuit (default = 8) and MaxIter (default = 24) parameters used during crossing minimization. These correspond to the number of tries without improvement before quitting and the maximum number of iterations in each pass.
mindist
Specifies the minimum separation between all nodes.
minlen
Minimum edge length (rank difference between head and tail).
mode
Technique for optimizing the layout. If mode is "major", neato uses stress majorization. If mode is "KK", neato uses a version of the gradient descent method. The only advantage to the latter technique is that it is sometimes appreciably faster for small (number of nodes < 100) graphs. A significant disadvantage is that it may cycle.

There are two new, experimental modes in neato, "hier", which adds a top-down directionality similar to the layout used in dot, and "ipsep", which allows the graph to specify minimum vertical and horizontal distances between nodes. (See the sep attribute.)

model
This value specifies how the distance matrix is computed for the input graph. The distance matrix specifies the ideal distance between every pair of nodes. neato attemps to find a layout which best achieves these distances. By default, it uses the length of the shortest path, where the length of each edge is given by its len attribute. If model is "circuit", neato uses the circuit resistance model to compute the distances. This tends to emphasize clusters. If model is "subset", neato uses the subset model. This sets the edge length to be the number of nodes that are neighbors of exactly one of the end points, and then calculates the shortest paths. This helps to separate nodes with high degree.
mosek
If Graphviz is built with MOSEK defined, mode=ipsep and mosek=true, the Mosek software (www.mosek.com) is use to solve the ipsep constraints.
nodesep
Minimum space between two adjacent nodes in the same rank, in inches.
nojustify
By default, the justification of multi-line labels is done within the largest context that makes sense. Thus, in the label of a polygonal node, a left-justified line will align with the left side of the node (shifted by the prescribed margin). In record nodes, left-justified line will line up with the left side of the enclosing column of fields. If nojustify is "true", multi-line labels will be justified in the context of itself. For example, if the attribute is set, the first label line is long, and the second is shorter and left-justified, the second will align with the left-most character in the first line, regardless of how large the node might be.
normalize
If set, normalize coordinates of final layout so that the first point is at the origin, and then rotate the layout so that the first edge is horizontal.
nslimit ,
nslimit1
Used to set number of iterations in network simplex applications. nslimit is used in computing node x coordinates, nslimit1 for ranking nodes. If defined, # iterations = nslimit(1) * # nodes; otherwise, # iterations = MAXINT.
ordering
If "out" for a graph G, and n is a node in G, then edges n->* appear left-to-right in the same order in which they are defined. If "in", the edges *->n appear left-to-right in the same order in which they are defined for all nodes n.
orientation
Angle, in degrees, used to rotate polygon node shapes. For any number of polygon sides, 0 degrees rotation results in a flat base.
orientation
If "[lL]*", set graph orientation to landscape Used only if rotate is not defined.
outputorder
Specify order in which nodes and edges are drawn.
overlap
Determines if and how node overlaps should be removed. Nodes are first enlarged using the sep attribute. If "true" , overlaps are retained. If the value is "scale", overlaps are removed by uniformly scaling in x and y. If the value converts to "false", node overlaps are removed by a Voronoi-based technique. If the value is "scalexy", x and y are separately scaled to remove overlaps.

If sfdp is available, one can set overlap to "prism" to use a proximity graph-based algorithm for overlap removal. This is the preferred technique, though "scale" and "false" can work well with small graphs. This technique starts with a small scaling up, controlled by the overlap_scaling attribute, which can remove a significant portion of the overlap. The prism option also accepts an optional non-negative integer suffix. This can be used to control the number of attempts made at overlap removal. By default, overlap="prism" is equivalent to overlap="prism1000". Setting overlap="prism0" causes only the scaling phase to be run.

If the value is "compress", the layout will be scaled down as much as possible without introducing any overlaps, obviously assuming there are none to begin with.

N.B.The remaining allowed values of overlap correspond to algorithms which, at present, can produce bad aspect ratios. In addition, we deprecate the use of the "ortho*" and "portho*".

If the value is "vpsc", overlap removal is done as a quadratic optimization to minimize node displacement while removing node overlaps.

If the value is "orthoxy" or "orthoyx", overlaps are moved by optimizing two constraint problems, one for the x axis and one for the y. The suffix indicates which axis is processed first. If the value is "ortho", the technique is similar to "orthoxy" except a heuristic is used to reduce the bias between the two passes. If the value is "ortho_yx", the technique is the same as "ortho", except the roles of x and y are reversed. The values "portho", "porthoxy", "porthoxy", and "portho_yx" are similar to the previous four, except only pseudo-orthogonal ordering is enforced.

If the layout is done by neato with mode="ipsep", then one can use overlap=ipsep. In this case, the overlap removal constraints are incorporated into the layout algorithm itself. N.B. At present, this only supports one level of clustering.

Except for fdp and sfdp, the layouts assume overlap="true" as the default. Fdp first uses a number of passes using built-in, force-directed technique to remove overlaps. Thus, fdp accepts overlap with an integer prefix followed by a colon, specifying the number of tries. If there is no prefix, no initial tries will be performed. If there is nothing following a colon, none of the above methods will be attempted. By default, fdp uses overlap="9:portho". Note that overlap="true", overlap="0:true" and overlap="0:" all turn off all overlap removal.

By default, sfdp uses overlap="prism0".

Except for the Voronoi and prism methods, all of these transforms preserve the orthogonal ordering of the original layout. That is, if the x coordinates of two nodes are originally the same, they will remain the same, and if the x coordinate of one node is originally less than the x coordinate of another, this relation will still hold in the transformed layout. The similar properties hold for the y coordinates. This is not quite true for the "porth*" cases. For these, orthogonal ordering is only preserved among nodes related by an edge.

overlap_scaling
When overlap=prism, the layout is scaled by this factor, thereby removing a fair amount of node overlap, and making node overlap removal faster and better able to retain the graph's shape.

If overlap_scaling is negative, the layout is scaled by -1*overlap_scaling times the average label size. If overlap_scaling is positive, the layout is scaled by overlap_scaling. If overlap_scaling is zero, no scaling is done.

pack
This is true if the value of pack is "true" (case-insensitive) or a non-negative integer. If true, each connected component of the graph is laid out separately, and then the graphs are packed together. If pack has an integral value, this is used as the size, in points, of a margin around each part; otherwise, a default margin of 8 is used. If pack is interpreted as false, the entire graph is laid out together. The granularity and method of packing is influenced by the packmode attribute.

For layouts which always do packing, such a twopi, the pack attribute is just used to set the margin.

packmode
This indicates how connected components should be packed (cf. packMode). Note that defining packmode will automatically turn on packing as though one had set pack=true.
pad
The pad attribute specifies how much, in inches, to extend the drawing area around the minimal area needed to draw the graph. If the pad is a single double, both the x and y pad values are set equal to the given value. This area is part of the drawing and will be filled with the background color, if appropriate.

Normally, a small pad is used for aesthetic reasons, especially when a background color is used, to avoid having nodes and edges abutting the boundary of the drawn region.

page
Width and height of output pages, in inches. If this is set and is smaller than the size of the layout, a rectangular array of pages of the specified page size is overlaid on the layout, with origins aligned in the lower-left corner, thereby partitioning the layout into pages. The pages are then produced one at a time, in pagedir order.

At present, this only works for PostScript output. For other types of output, one should use another tool to split the output into multiple output files. Or use the viewport to generate multiple files.

pagedir
If the page attribute is set and applicable, this attribute specifies the order in which the pages are emitted. This is limited to one of the 8 row or column major orders.
pencolor
Color used to draw the bounding box around a cluster. If pencolor is not defined, color is used. If this is not defined, bgcolor is used. If this is not defined, the default is used.

Note that a cluster inherits the root graph's attributes if defined. Thus, if the root graph has defined a pencolor, this will override a color or bgcolor attribute set for the cluster.

penwidth
Specifies the width of the pen, in points, used to draw lines and curves, including the boundaries of edges and clusters. The value is inherited by subclusters. It has no effect on text.

Previous to 31 January 2008, the effect of penwidth=W was achieved by including setlinewidth(W) as part of a style specification. If both are used, penwidth will be used.

peripheries
Set number of peripheries used in polygonal shapes and cluster boundaries. Note that user-defined shapes are treated as a form of box shape, so the default peripheries value is 1 and the user-defined shape will be drawn in a bounding rectangle. Setting peripheries=0 will turn this off. Also, 1 is the maximum peripheries value for clusters.
pin
If true and the node has a pos attribute on input, neato or fdp prevents the node from moving from the input position. This property can also be specified in the pos attribute itself (cf. the point type).

Note: Due to an artifact of the implementation, final coordinates are translated to the origin. Thus, if you look at the output coordinates given in the (x)dot or plain format, pinned nodes will not have the same output coordinates as were given on input. If this is important, a simple workaround is to maintain the coordinates of a pinned node. The vector difference between the old and new coordinates will give the translation, which can then be subtracted from all of the appropriate coordinates.

pos
Position of node, or spline control points. For nodes, the position indicates the center of the node. On output, the coordinates are in points.

In neato and fdp, pos can be used to set the initial position of a node. By default, the coordinates are assumed to be in inches. However, the -s command line flag can be used to specify different units. As the output coordinates are in points, feeding the output of a graph laid out by a Graphviz program into neato or fdp will almost always require the -s flag.

When the -n command line flag is used with neato, it is assumed the positions have been set by one of the layout programs, and are therefore in points. Thus, neato -n can accept input correctly without requiring a -s flag and, in fact, ignores any such flag.

quadtree
Quadtree scheme to use.

A TRUE bool value corresponds to "normal"; a FALSE bool value corresponds to "none". As a slight exception to the normal interpretation of bool, a value of "2" corresponds to "fast".

quantum
If quantum > 0.0, node label dimensions will be rounded to integral multiples of the quantum.
rank
Rank constraints on the nodes in a subgraph. If rank="same", all nodes are placed on the same rank. If rank="min", all nodes are placed on the minimum rank. If rank="source", all nodes are placed on the minimum rank, and the only nodes on the minimum rank belong to some subgraph whose rank attribute is "source" or "min". Analogous criteria hold for rank="max" and rank="sink". (Note: the minimum rank is topmost or leftmost, and the maximum rank is bottommost or rightmost.)
rankdir
Sets direction of graph layout. For example, if rankdir="LR", and barring cycles, an edge T -> H; will go from left to right. By default, graphs are laid out from top to bottom.

This attribute also has a side-effect in determining how record nodes are interpreted. See record shapes.

ranksep
In dot, this gives the desired rank separation, in inches. This is the minimum vertical distance between the bottom of the nodes in one rank and the tops of nodes in the next. If the value contains "equally", the centers of all ranks are spaced equally apart. Note that both settings are possible, e.g., ranksep = "1.2 equally". In twopi, specifies radial separation of concentric circles.
ratio
Sets the aspect ratio (drawing height/drawing width) for the drawing. Note that this is adjusted before the size attribute constraints are enforced.

If ratio is numeric, it is taken as the desired aspect ratio. Then, if the actual aspect ratio is less than the desired ratio, the drawing height is scaled up to achieve the desired ratio; if the actual ratio is greater than that desired ratio, the drawing width is scaled up.

If ratio = "fill" and the size attribute is set, node positions are scaled, separately in both x and y, so that the final drawing exactly fills the specified size.

If ratio = "compress" and the size attribute is set, dot attempts to compress the initial layout to fit in the given size. This achieves a tighter packing of nodes but reduces the balance and symmetry. This feature only works in dot.

If ratio = "expand", the size attribute is set, and both the width and the height of the graph are less than the value in size, node positions are scaled uniformly until at least one dimension fits size exactly. Note that this is distinct from using size as the desired size, as here the drawing is expanded before edges are generated and all node and text sizes remain unchanged.

If ratio = "auto", the page attribute is set and the graph cannot be drawn on a single page, then size is set to an ``ideal'' value. In particular, the size in a given dimension will be the smallest integral multiple of the page size in that dimension which is at least half the current size. The two dimensions are then scaled independently to the new size. This feature only works in dot.

rects
Rectangles for fields of records, in points.
regular
If true, force polygon to be regular.
remincross
If true and there are multiple clusters, run cross minimization a second time.
repulsiveforce
The power of the repulsive force used in an extended Fruchterman-Reingold force directed model. Values larger than 1 tend to reduce the warping effect at the expense of less clustering.
resolution
This is a synonym for the dpi attribute.
root
This specifies nodes to be used as the center of the layout and the root of the generated spanning tree. As a graph attribute, this gives the name of the node. As a node attribute (circo only), it specifies that the node should be used as a central node. In twopi, this will actually be the central node. In circo, the block containing the node will be central in the drawing of its connected component. If not defined, twopi will pick a most central node, and circo will pick a random node.
rotate
If 90, set drawing orientation to landscape.
samehead
Edges with the same head and the same samehead value are aimed at the same point on the head. See limitation.
sametail
Edges with the same tail and the same sametail value are aimed at the same point on the tail. See limitation.
samplepoints
If the input graph defines the vertices attribute, and output is dot or xdot, this gives the number of points used for a node whose shape is a circle or ellipse. It plays the same role in neato, when adjusting the layout to avoid overlapping nodes, and in image maps.
searchsize
During network simplex, maximum number of edges with negative cut values to search when looking for one with minimum cut value.
sep
Specifies margin to leave around nodes when removing node overlap. This guarantees a minimal non-zero distance between nodes.

If the attribute begins with a plus sign '+', an additive margin is specified. That is, "+w,h" causes the node's bounding box to be increased by w points on the left and right sides, and by h points on the top and bottom. Without a plus sign, the node is scaled by 1 + w in the x coordinate and 1 + h in the y coordinate.

If only a single number is given, this is used for both dimensions.

If unset but esep is defined, the sep values will be set to the esep values divided by 0.8. If esep is unset, the default value is used.

shape
Set the shape of a node.
shapefile
(Deprecated) If defined, shapefile specifies a file containing user-supplied node content. The shape of the node is set to box. The image in the shapefile must be rectangular. The image formats supported as well as the precise semantics of how the file is used depends on the output format. For further details, see Image Formats and External PostScript files.

There is one exception to this usage. If shape is set to "epsf", shapefile gives a filename containing a definition of the node in PostScript. The graphics defined must be contain all of the node content, including any desired boundaries. For further details, see External PostScript files.

showboxes
Print guide boxes in PostScript at the beginning of routesplines if 1, or at the end if 2. (Debugging)
sides
Number of sides if shape=polygon.
size
Maximum width and height of drawing, in inches. If defined and the drawing is too large, the drawing is uniformly scaled down so that it fits within the given size.

If size ends in an exclamation point (!), then it is taken to be the desired size. In this case, if both dimensions of the drawing are less than size, the drawing is scaled up uniformly until at least one dimension equals its dimension in size.

Note that there is some interaction between the size and ratio attributes.

skew
Skew factor for shape=polygon. Positive values skew top of polygon to right; negative to left.
smoothing
Specifies a post-processing step used to smooth out an uneven distribution of nodes.
sortv
If packmode indicates an array packing, this attribute specifies an insertion order among the components, with smaller values inserted first.
splines
Controls how, and if, edges are represented. If true, edges are drawn as splines routed around nodes; if false, edges are drawn as line segments. If set to "", no edges are drawn at all.

(1 March 2007) The values line and spline can be used as synonyms for false and true, respectively. In addition, the value polyline specifies that edges should be drawn as polylines.

By default, the attribute is unset. How this is interpreted depends on the layout. For dot, the default is to draw edges as splines. For all other layouts, the default is to draw edges as line segments. Note that for these latter layouts, if splines="true", this requires non-overlapping nodes (cf. overlap). If fdp is used for layout and splines="compound", then the edges are drawn to avoid clusters as well as nodes.

start
Parameter used to determine the initial layout of nodes. If unset, the nodes are randomly placed in a unit square with the same seed is always used for the random number generator, so the initial placement is repeatable.
style
Set style for node or edge. For cluster subgraph, if "filled", the cluster box's background is filled.
stylesheet
A URL or pathname specifying an XML style sheet, used in SVG output.
tailURL
If tailURL is defined, it is output as part of the tail label of the edge. Also, this value is used near the tail node, overriding any URL value. See limitation.
tailclip
If true, the tail of an edge is clipped to the boundary of the tail node; otherwise, the end of the edge goes to the center of the node, or the center of a port, if applicable.
tailhref
Synonym for tailURL.
taillabel
Text label to be placed near tail of edge. See limitation.
tailport
Indicates where on the tail node to attach the tail of the edge. See limitation.
tailtarget
If the edge has a tailURL, this attribute determines which window of the browser is used for the URL. Setting it to "_graphviz" will open a new window if it doesn't already exist, or reuse it if it does. If undefined, the value of the target is used.
tailtooltip
Tooltip annotation attached to the tail of an edge. This is used only if the edge has a tailURL attribute.
target
If the object has a URL, this attribute determines which window of the browser is used for the URL. See W3C documentation.
tooltip
Tooltip annotation attached to the node or edge. If unset, Graphviz will use the object's label if defined. Note that if the label is a record specification or an HTML-like label, the resulting tooltip may be unhelpful. In this case, if tooltips will be generated, the user should set a tooltip attribute explicitly.
truecolor
If set explicitly to true or false, the value determines whether or not internal bitmap rendering relies on a truecolor color model or uses a color palette. If the attribute is unset, truecolor is not used unless there is a shapefile property for some node in the graph. The output model will use the input model when possible.

Use of color palettes results in less memory usage during creation of the bitmaps and smaller output files.

Usually, the only time it is necessary to specify the truetype model is if the graph uses more than 256 colors. However, if one uses bgcolor=transparent with a color palette, font antialiasing can show up as a fuzzy white area around characters. Using truecolor=true avoids this problem.

vertices
If the input graph defines this attribute, the node is polygonal, and output is dot or xdot, this attribute provides the coordinates of the vertices of the node's polygon, in inches. If the node is an ellipse or circle, the samplepoints attribute affects the output.
viewport
Clipping window on final drawing.
voro_margin
Factor to scale up drawing to allow margin for expansion in Voronoi technique. dim' = (1+2*margin)*dim.
weight
Weight of edge. In dot, the heavier the weight, the shorter, straighter and more vertical the edge is.
width
Width of node, in inches. This is taken as the initial, minimum width of the node. If fixedsize is true, this will be the final width of the node. Otherwise, if the node label requires more width to fit, the node's width will be increased to contain the label. Note also that, if the output format is dot, the value given to width will be the final value.
z
Deprecated:Use pos attribute, along with dimen and/or dim to specify dimensions.

Provides z coordinate value for 3D layouts and displays. If the graph has dim set to 3 (or more), neato will use a node's z value for the z coordinate of its initial position if its pos attribute is also defined.

Even if no z values are specified in the input, it is necessary to declare a z attribute for nodes, e.g, using node[z=""] in order to get z values on output. Thus, setting dim=3 but not declaring z will cause neato -Tvrml to layout the graph in 3D but project the layout onto the xy-plane for the rendering. If the z attribute is declared, the final rendering will be in 3D.


Attribute Type Descriptions

The following list gives the legal strings corresponding to values of the given types.
arrowType
"normal" "inv"
"dot" "invdot"
"odot" "invodot"
"none" "tee"
"empty" "invempty"
"diamond" "odiamond"
"ediamond" "crow"
"box" "obox"
"open" "halfopen"
"vee"

These are the basic set of backward-compatible arrow shapes. In addition, there is a grammar of arrow shapes which can be used to describe a collection of 1,544,761 arrow combinations of the 36 varations of the primitive set of 9 arrows. The basic arrows shown above contain all of the primitive shapes (box, crow, diamond, dot, inv, none, normal, tee, vee) plus ones that can be derived from the grammar (odot, invdot, invodot, obox, odiamond) plus some supported as special cases for backward-compatibility (ediamond, open, halfopen, empty, invempty).

aspectType

An aspect ratio, double, followed optionally by a ',' and a maximum pass count. If the aspect ratio is given, but no maximum pass count, the latter defaults to 5.

clusterMode
"local","global","none"
color
Colors can be specified using one of four formats.
"#%2x%2x%2x"Red-Green-Blue (RGB)
"#%2x%2x%2x%2x"Red-Green-Blue-Alpha (RGBA)
H[, ]+S[, ]+VHue-Saturation-Value (HSV) 0.0 <= H,S,V <= 1.0
stringcolor name
The specification for the RGB and RGBA formats are the format strings used by sscanf to scan the color value. Thus, these values have the form "#RGB" or "#RGBA", where R, G, B, and A each consist of 2 hexidecimal digits, and can be separated by whitespace. HSV colors have the form of 3 numbers between 0 and 1, separated by whitespace or commas.

String-valued color specifications are case-insensitive and interpreted in the context of the current color scheme, as specified by the colorscheme attribute. If this is undefined, the X11 naming scheme will be used. An initial "/" character can be used to override the use of the colorscheme attribute. In particular, a single initial "/" will cause the string to be evaluated using the default X11 naming. If the color value has the form "/ssss/yyyy", the name yyyy is interpreted using the schema ssss. If the color scheme name is empty, i.e., the color has the form "//yyyy", the colorscheme attribute is used. Thus, the forms "yyyy" and "//yyyy" are equivalent.

At present, Graphviz recognizes the default color scheme X11, and the Brewer color schemes. Please note that Brewer color schemes are covered by this license.

Examples:
ColorRGBHSVString
White"#ffffff""0.000 0.000 1.000""white"
Black"#000000""0.000 0.000 0.000""black"
Red"#ff0000""0.000 1.000 1.000""red"
Turquoise"#40e0d0""0.482 0.714 0.878""turquoise"
Sienna"#a0522d""0.051 0.718 0.627""sienna"

Note that some output formats, e.g., mif, only support a limited number of specific colors.

The string value transparent can be used to indicate no color. This is only available in the output formats ps, svg, fig, vmrl, and the bitmap formats. It can be used whenever a color is needed but is most useful with the bgcolor attribute. Usually, the same effect can be achieved by setting style to invis.

colorList
A colon-separated list of color values: C(:C)* where each C is a color value.
dirType
For an edge T -> H;
"forward" "back"
"both" "none"
For undirected edges T -- H;, one of the nodes, usually the righthand one, is treated as the head for the purpose of interpreting "forward" and "back".
escString
string allowing escape sequences which are replaced according to the context. For node attributes, the substring "\N" is replaced by the name of the node, and the substring "\G" by the name of the graph. For graph or cluster attributes, the substring "\G" is replaced by the name of the graph or cluster. For edge attributes, the substring "\E" is replaced by the name of the edge, the substring "\G" is replaced by the name of the graph or cluster, and the substrings "\T" and "\H" by the names of the tail and head nodes, respectively. The name of an edge is the string formed from the name of the tail node, the appropriate edge operator ("--" or "->") and the name of the head node. In all cases, the substring "\L" is replaced by the object's label attribute.

In addition, if the associated attribute is label, headlabel or taillabel, the escape sequences "\n", "\l" and "\r" divide the label into lines, centered, left-justified, and right-justified, respectively.

layerList
list of strings separated by characters from the layersep attribute (by default, colons, tabs or spaces), defining layer names and implicitly numbered 1,2,...
layerRange
layerId or layerIdslayerId,
where layerId = "all", a decimal integer or a layer name. (An integer i corresponds to layer i.) The string s consists of 1 or more separator characters specified by the layersep attribute.
lblString
an escString or an HTML label.
outputMode
"breadthfirst","nodesfirst","edgesfirst" These specify the order in which nodes and edges are drawn in concrete output. The default "breadthfirst" is the simplest, but when the graph layout does not avoid edge-node overlap, this mode will sometimes have edges drawn over nodes and sometimes on top of nodes. If the mode "nodesfirst" is chosen, all nodes are drawn first, followed by the edges. This guarantees an edge-node overlap will not be mistaken for an edge ending at a node. On the other hand, usually for aesthetic reasons, it may be desirable that all edges appear beneath nodes, even if the resulting drawing is ambiguous. This can be achieved by choosing "edgesfirst".
packMode
"node", "clust" , "graph" , "array[_flags][%d]"

The modes "node", "clust" or "graph" specify that the components should be packed together tightly, using the specified granularity. A value of "node" causes packing at the node and edge level, with no overlapping of these objects. This produces a layout with the least area, but it also allows interleaving, where a node of one component may lie between two nodes in another component. A value of "graph" does a packing using the bounding box of the component. Thus, there will be a rectangular region around a component free of elements of any other component. A value of "clust" guarantees that top-level clusters are kept intact. What effect a value has also depends on the layout algorithm. For example, neato does not support clusters, so a value of "clust" will have the same effect as the default "node" value.

The mode "array[_flags][%d]" indicates that the components should be packed at the graph level into an array of graphs. By default, the components are in row-major order, with the number of columns roughly the square root of the number of components. If the optional flags contains "c", then column-major order is used. Finally, if the optional integer suffix is used, this specifies the number of columns for row-major or the number of rows for column-major. Thus, the mode "array_c4" indicates array packing, with 4 rows, starting in the upper left and going down the first column, then down the second column, etc., until all components are used.

If the optional flags contains "u", this causes the insertion order of elements in the array to be determined by user-supplied values. Each component can specify its sort value by a non-negative integer using the sortv attribute. Components are inserted in order, starting with the one with the smallest sort value. If no sort value is specified, zero is used.

pagedir
"BL", "BR", "TL", "TR", "RB", "RT", "LB", "LT". These specify the 8 row or column major orders for traversing a rectangular array, the first character corresponding to the major order and the second to the minor order. Thus, for "BL", the major order is from bottom to top, and the minor order is from left to right. This means the bottom row is traversed first, from left to right, then the next row up, from left to right, and so on, until the topmost row is traversed.
point
"%f,%f"('!') representing the point (x,y). The optional '!' indicates the node position should not change (input-only).

If dim is 3 or more, point may also have the format "%f,%f,%f"('!') to represent the point (x,y,z).

pointf
"%lf,%lf" representing the point (x,y).
pointfList
list of pointf, separated by spaces.
portPos
modifier indicating where on a node an edge should be aimed. It has the form portname[:compass_point] or compass_point. If the first form is used, the corresponding node must either have record shape with one of its fields having the given portname, or have an HTML-like label, one of whose components has a PORT attribute set to portname.

If a compass point is used, it must have the form "n","ne","e","se","s","sw","w","nw","c","_". This modifies the edge placement to aim for the corresponding compass point on the port or, in the second form where no portname is supplied, on the node itself. The compass point "c" specifies the center of the node or port. The compass point "_" specifies that an appropriate side of the port adjacent to the exterior of the node should be used, if such exists. Otherwise, the center is used. If no compass point is used with a portname, the default value is "_".

This attribute can be attached to an edge using the headport and tailport attributes, or as part of the edge description as in

node1:port1 -> node2:port5:nw;

Note that it is legal to have a portname the same as one of the compass points. In this case, this reference will be resolved to the port. Thus, if node A has a port w, then headport=w will refer to the port and not the compass point. At present, in this case, there is no way to specify that the compass point should be used.

quadType
"normal", "fast", "none".

Using "fast" gives about a 2-4 times overall speedup compared with "normal", though layout quality can suffer a little.

rankType
"same", "min", "source", "max", "sink"
rankdir
"TB", "LR", "BT", "RL", corresponding to directed graphs drawn from top to bottom, from left to right, from bottom to top, and from right to left, respectively.
rect
"%f,%f,%f,%f" The rectangle llx,lly,urx,ury gives the coordinates, in points, of the lower-left corner (llx,lly) and the upper-right corner (urx,ury).
shape
A string specifying the shape of a node. There are three main types of shapes : polygon-based, record-based and user-defined.
smoothType
Values are "none", "avg_dist", "graph_dist", "power_dist", "rng", "spring" and "triangle".
splineType
spline ( ';' spline )*
where spline=(endp)? (startp)? point (triple)+
and triple=point point point
and endp="e,%f,%f"
and startp="s,%f,%f"
If a spline has points p1 p2 p3 ... pn, (n = 1 (mod 3)), the points correspond to the control points of a B-spline from p1 to pn. If startp is given, it touches one node of the edge, and the arrowhead goes from p1 to startp. If startp is not given, p1 touches a node. Similarly for pn and endp.
startType
has the syntax [style][seed].

If style is present, it must be one of the strings "regular", "self", or "random". In the first case, the nodes are placed regularly about a circle. In the second case, an abbreviated version of neato is run to obtain the initial layout. In the last case, the nodes are placed randomly in a unit square.

If seed is present, it specifies a seed for the random number generator. If seed is a positive number, this is used as the seed. If it is anything else, the current time, and possibly the process id, is used to pick a seed, thereby making the choice more random. In this case, the seed value is stored in the graph.

If the value is just "random", a time-based seed is chosen.

Note that input positions, specified by a node's pos attribute, are only used when the style is "random".

style
styleItem ( ',' styleItem )*
where styleItem=name or name'('args')'
and args=name ( ',' name )*
and name=[^)(,  ][^)(,]*
Note that whitespace characters are ignored, except for names which can contain them. A name cannot contain any comma, or left or right parenthesis, and it cannot begin with a whitespace character.

At present, the recognized style names are "dashed", "dotted", "solid", "invis" and "bold" for nodes and edges, and "filled", "diagonals" and "rounded" for nodes only. The styles "filled" and "rounded" are recognized for clusters. Additional styles are available in device-dependent form. Style lists are passed to device drivers, which can use this to generate appropriate output.

The setlinewidth style value can be used for more control over the width of node borders and edges than is allowed by bold. This style value takes an argument, specifying the width of the line in points. For example, style="bold" is equivalent to style="setlinewidth(2)". The use of setlinewidth is deprecated; one should use the penwidth attribute instead.

viewPort
"%lf,%lf,%lf,%lf,%lf" or "%lf,%lf,%lf,'%s'"

The viewPort W,H,Z,x,y or W,H,Z,N specifies a viewport for the final image. The pair (W,H) gives the dimensions (width and height) of the final image, in points. The optional Z is the zoom factor, i.e., the image in the original layout will be W/Z by H/Z points in size. By default, Z is 1. The optional last part is either a pair (x,y) giving a position in the original layout of the graph, in points, of the center of the viewport, or the name N of a node whose center should used as the focus. By default, the focus is the center of the graph bounding box, i.e., (bbx/2,bby/2), where "bbx,bby" is the value of the bounding box attribute bb.

Sample values: 50,50,.5,'2.8 BSD' or 100,100,2,450,300. The first will take the 100x100 point square centered on the node 2.8 BSD and scale it down by 0.5, yielding a 50x50 point final image.